• Предмет: Математика
  • Автор: 2008zhanelya
  • Вопрос задан 3 года назад

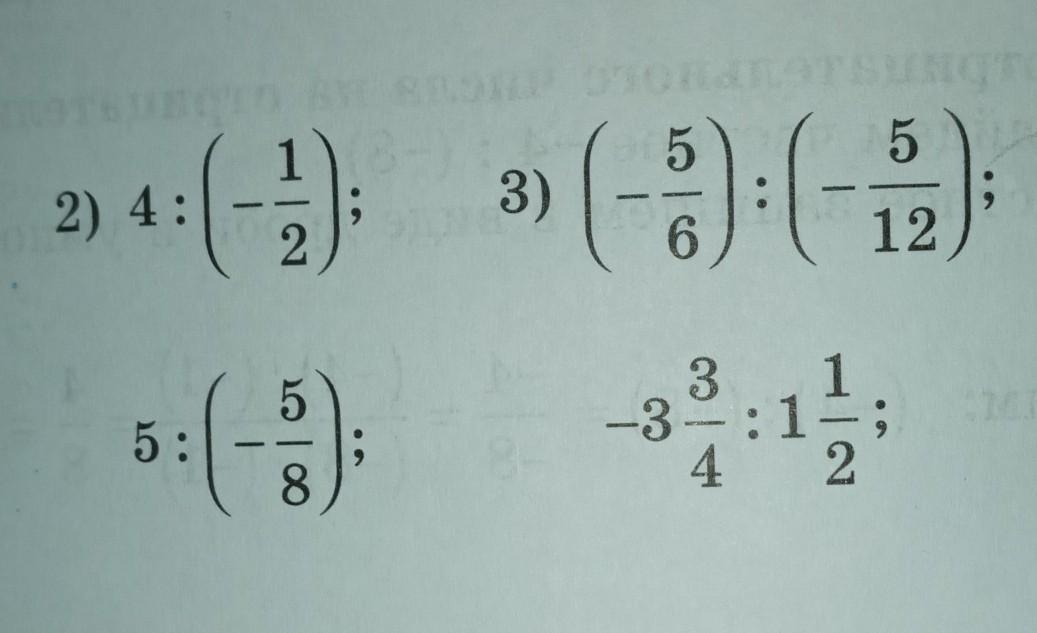
2)4:(-½)
5:(-⅝)
3)(-⅚):(-⁵/12)​

Приложения:

Ответы

Ответ дал: zhanadilovaasia
1

Ответ:

2)-8

-8

3)2

можноо лучший ответт

Вас заинтересует