• Предмет: Физика
  • Автор: varyaus270507
  • Вопрос задан 3 года назад

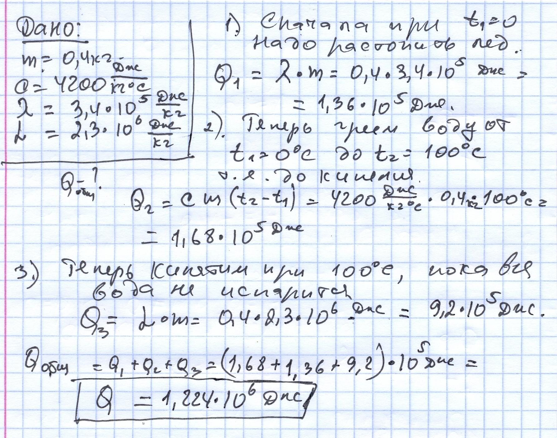
5. (46) Яка кількість теплоти необхідна для того, щоб лід масою 400 г при 0°C
перетворити на пару при 100 °С? ( Питома теплота плавлення льоду
340кДж/кг, питома теплоємність води 4200 Дж/(кгх°С), питома теплота
пароутворення води 2,3МДж/кг).
СРОЧНООО

Ответы

Ответ дал: dmiloshin
1

Ответ:

Какое количество теплоты потребуется,чтобы лед массой 400г при температуре 0*С превратить в пар при температуре 100*С?

Объяснение:

Приложения:
Вас заинтересует