• Предмет: Математика
  • Автор: Tealoverdk
  • Вопрос задан 3 года назад

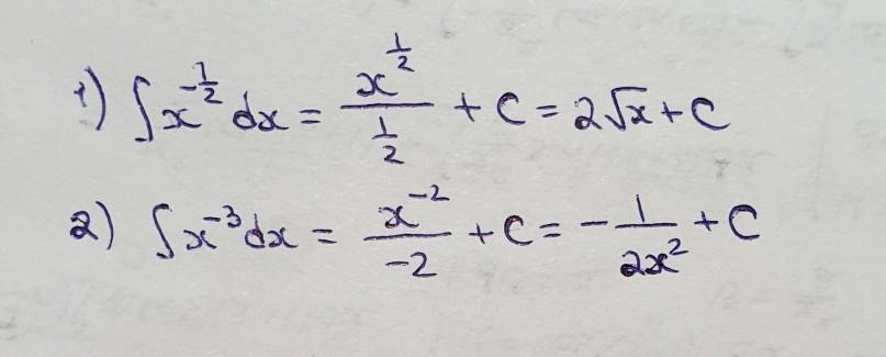
Помогите найти решение примеров с интегралами.

Приложения:

Ответы

Ответ дал: Miroslava227
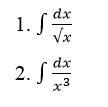
1

Ответ:

решение на фотографии

Приложения:

Miroslava227: Модераторы, скорее, следят за порядком: подчищают комментарии, удаляют странные вопросы.
Miroslava227: И да, это иронично)
Miroslava227: Ну, что тут сказать, кто-то его назначил на эту должность, значит, вся ответственность на этом человеке)
522800: иронично а это как понимать
Miroslava227: Что он модератор и удаляет те комментарии, которые сам же пишет
522800: аххаах
522800: ясно
522800: а вот можно вопрос
522800: зайдите на мой последний вопрос люди
522800: и кто сможет ответьте
Вас заинтересует