• Предмет: Алгебра
  • Автор: natashaaakirilova
  • Вопрос задан 3 года назад

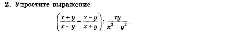
помогите пожалуйста с алгеброй! даю 55 баллов, желательно с полным решением......

Приложения:

Ответы

Ответ дал: anastasy04
1
Ответ 4, решение на листочке
Ответ дал: TopShottaFlow
2

Объяснение:

( \frac{(x + y)(x  +  y) - (x - y)(x - y)}{(x - y)(x + y)}) \div  \frac{xy}{ {x}^{2}  -  {y}^{2} }

, что равно

( \frac{ {x}^{2}   + 2xy +  {y}^{2}  -  {x}^{2}  + 2xy -  {y}^{2} }{ {x}^{2}  -  {y}^{2} }) \div  \frac{xy}{ {x}^{2}  -  {y}^{2} }

=

 \frac{4xy \times ( {x}^{2}  -  {y}^{2} )}{( {x}^{2} -  {y}^{2} ) \times xy }

= 4

Вас заинтересует