• Предмет: Математика
  • Автор: blanschet
  • Вопрос задан 3 года назад

Помогите пожалуйста решить уравнения
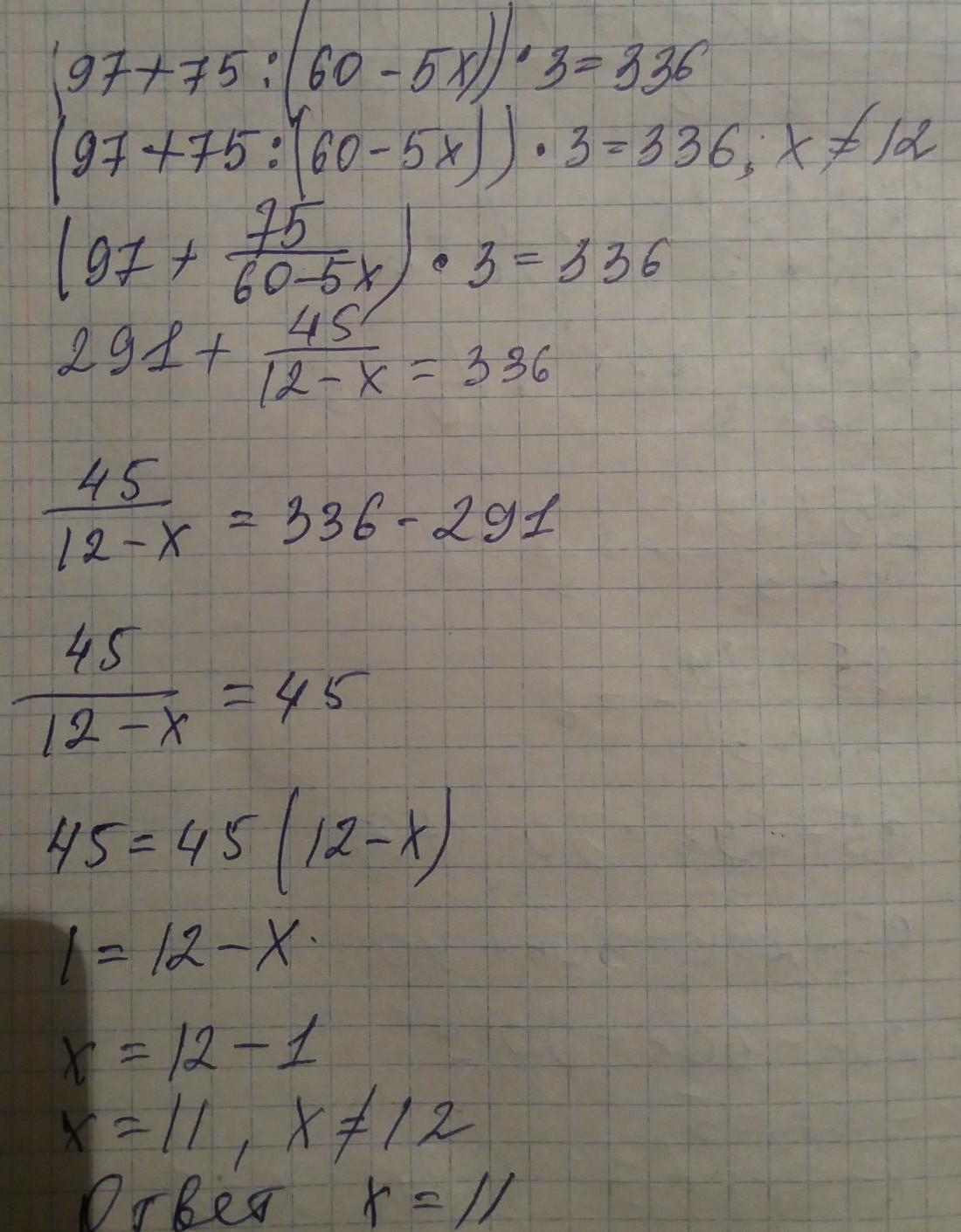
1. (97+75:(60-5x))*3=336
2.(2400:(25x+75):6+58):10=6
Помогите пожалуйста,нужно сверить решение.СРОЧНО!!!

Ответы

Ответ дал: sushytskamaria
0

Пошаговое объяснение:

1) x = 11

Второе точно правильно написано?


blanschet: мне нужно полностью решение!!!!второе правильно написано.
luba77649g: Я решила. Только не успела добавить. Ответы : 1 уранение= х=11.
luba77649g: 2 уравнение х= 5
blanschet: добавь пожалуйста решение пошаговое.
blanschet: Не Нужно брать цифры с неба .
blanschet: Как не стыдно.....
blanschet: Можно гораздо проще решать
Ответ дал: luba77649g
0

Ответ:

Вот. Там посмотри 3 картинки должно быть. Не помещается

Приложения:

luba77649g: Должно быть правильно
luba77649g: Я долго картинки не могла добавить
blanschet: Мы такое не проходили такой способ
luba77649g: Я всегда подробно решаю.
luba77649g: Мы именно этим способом решаем
Вас заинтересует