• Предмет: Математика
  • Автор: princess2259
  • Вопрос задан 3 года назад

4
7
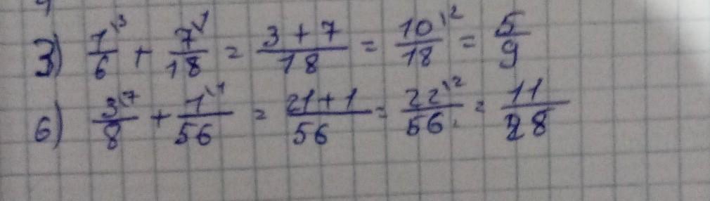
3) +
5 10
6)
5-9
5 2

27​

Приложения:

Ответы

Ответ дал: madetzhansaya
11

Ответ:

Все лайки и звёздочки не забудьте

Приложения:

pozhidaewa84: Не правильный ответ ты не правильно написал
zhane777: цыц
Вас заинтересует