Ответы
Ответ дал:
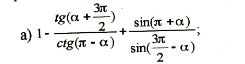
0
2^3+2^log(2)5=8+5=13
sin7pi/12cos7pi/12=1/2sin14pi/12=1/2sin(pi+2pi/12)=1/2sin2pi/12=1/2sinpi/6=1/2*1/2=1/4
1+ctga/ctga+sina/cosa=2+tga
2^(8-13x)=2^(-5)
8-13x=-5
-13x=-13
x=1
(8/5)^(x+7)=0,625
0,625^(-x-7)=0,625
-x-7=1
-x=8
x=-8
sin7pi/12cos7pi/12=1/2sin14pi/12=1/2sin(pi+2pi/12)=1/2sin2pi/12=1/2sinpi/6=1/2*1/2=1/4
1+ctga/ctga+sina/cosa=2+tga
2^(8-13x)=2^(-5)
8-13x=-5
-13x=-13
x=1
(8/5)^(x+7)=0,625
0,625^(-x-7)=0,625
-x-7=1
-x=8
x=-8
Вас заинтересует
3 года назад
8 лет назад
8 лет назад
11 лет назад
11 лет назад
11 лет назад