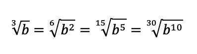
Представьте выражение
![\sqrt[3]{b} \sqrt[3]{b}](https://tex.z-dn.net/?f=+%5Csqrt%5B3%5D%7Bb%7D+)
b>=0, в виде корня:
1) шестой степени;
3) пятнадцатой степени;
2) девятой степени
4) тридцатой степени.
Ответы
Ответ дал:
1
Ответ:
Смотри ответ на изображении
Объяснение:
Приложения:
Вас заинтересует
2 года назад
2 года назад
2 года назад
2 года назад
8 лет назад