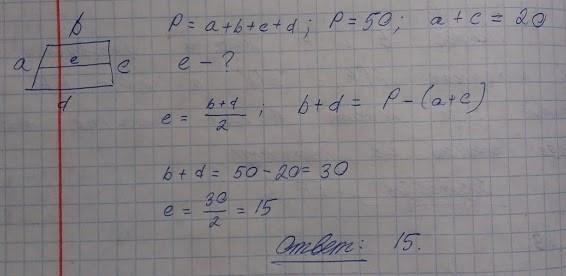
периметр трапеции равен 50 см а сумма непаралелльных сторон равна 20 см найдите среднюю лирию трапеции
Ответы
Ответ дал:
0
Ответ:
15 см
Объяснение:
если из периметра отнять 20 , то останется сумма оснований
50-20=30 см
средняя линия равна полусумме оснований 30:2=15 см
Ответ дал:
3
ОТВЕТ
15.
ОБЪЯСНЕНИЕ
Решение на фото.
Приложения:

Вас заинтересует
2 года назад
2 года назад
2 года назад
7 лет назад
7 лет назад
9 лет назад