Ответы
                                            Ответ дал: 
                                                                                    
                                        
                                            
                                                
                                                
                                                
                                                    0
                                                
                                            
                                        
                                    Ответ:
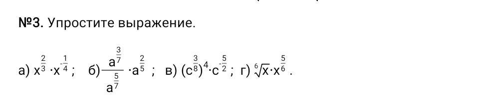
а)  
б) 
в)
г)
в)упрощаем выражение путем умножения показателей степеней ⇶
вычисляем произведение
при возведении выражения в степень -1 получается обратное к исходному выражение ⇶ 
                    malikovnam77:
                    Спасибо большое, но в варианте В непонятно что-то пожалуйста можно человеческим языком я это не понимаю
                
            
                    
                    Вы спасли мне жизнь благодарю, Вы самая лучшая ❤
                
            
                    
                    Уже расписала
                
            
                    
                    спасибо Вы такая добряша
                
            Вас заинтересует
                
                        2 года назад
                    
                
                        2 года назад
                    
                
                        2 года назад
                    
                
                        7 лет назад
                    
                
                        9 лет назад
                    
                