• Предмет: Математика
  • Автор: vladcamoulov
  • Вопрос задан 3 года назад

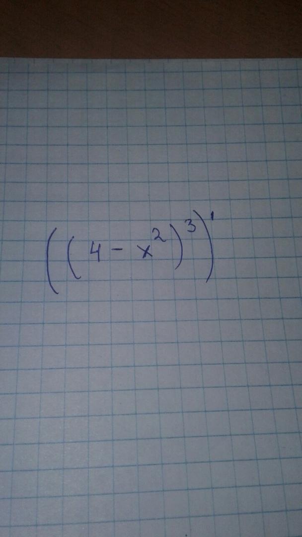
Решите производную с элементарными функцией (вышмат)

Приложения:

Ответы

Ответ дал: Tilen
0

Ответ:

Пошаговое объяснение:

((4-x²)³)"=3(4-x²)²·(-2x)= -6x(4-x²)²=-6x(16-8x²+x⁴)= -6x⁵+48x³-96x

Вас заинтересует