• Предмет: Алгебра
  • Автор: ezh1kk
  • Вопрос задан 3 года назад

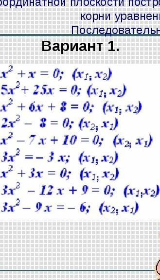
Сделай те пожалста))))) дам 30 баллов​

Приложения:

Ответы

Ответ дал: kopzhasarovazhb
0

Ответ:

786766555437777665456

Вас заинтересует