• Предмет: Математика
  • Автор: KATERINA111213
  • Вопрос задан 3 года назад

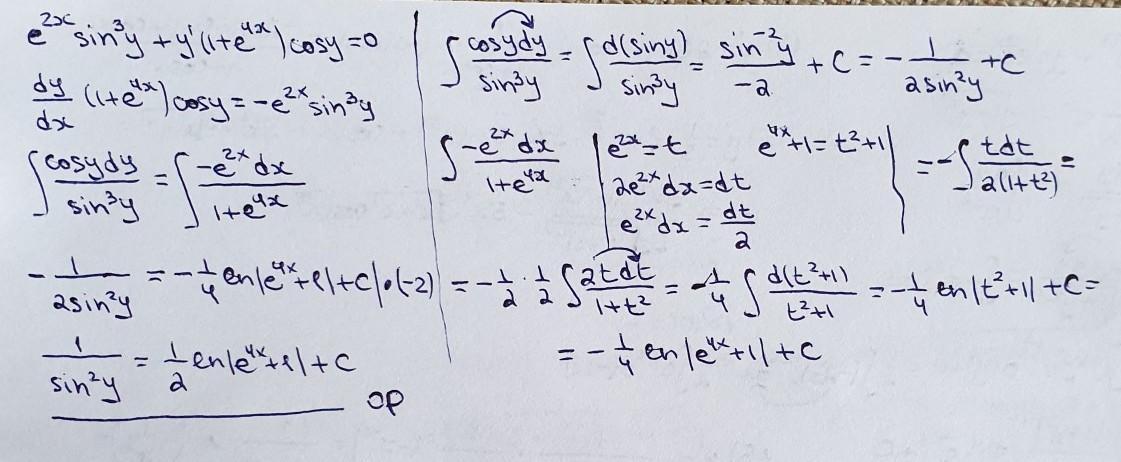
Найти общее решение дифференциального уравнения

E^2x sin^3 y+y` (1+e^4x) cos y=0

Срочно 60 баллов

Ответы

Ответ дал: Miroslava227
1

Ответ:

решение на фотографии

Приложения:
Вас заинтересует