• Предмет: Алгебра
  • Автор: Аноним
  • Вопрос задан 3 года назад

Найти седьмые члены следующих  арифметических прогрессий:

а) (an):  -6;-3; 0;…

б) (an): a1 = 6; d = 5;

в) an = 27 – 6n;

г) (an): a1 = -26; d = 7;

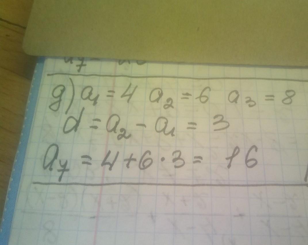
д)(an): 4; 6; 8;…


Аноним: пожалуйста, помогитеее

Ответы

Ответ дал: manyny06
3

Ответ:

решение на фотографии

Приложения:

grattttt: https://znanija.com/task/40159997
grattttt: manyny06
grattttt: срочно
grattttt: у меня времени мало
grattttt: помогите решить!!!!!!!!
grattttt: https://znanija.com/task/40159997
grattttt: срочно
Аноним: а под буквой д)?
Аноним: решите пожалуйста
Аноним: спасибо)
Вас заинтересует