• Предмет: Математика
  • Автор: sasha2003maiameseca
  • Вопрос задан 3 года назад

Срочно, математика, интегралы

Приложения:

Ответы

Ответ дал: Miroslava227
0

Ответ:

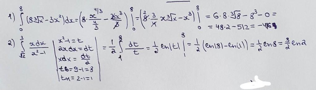
решение на фотографиях

Приложения:
Вас заинтересует