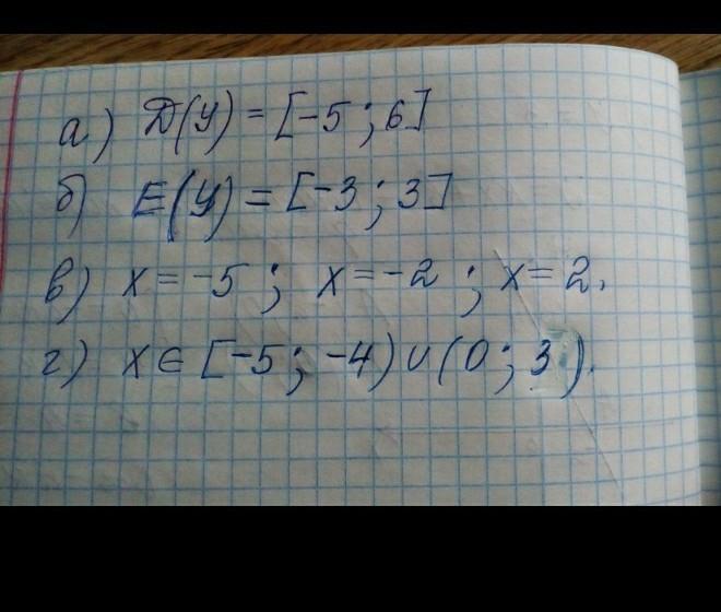
2. Для заданной графиками функций определите:
а) область определения
б) область значений
в) нули функции
г) интервалы возрастания
Приложения:

Ответы
Ответ дал:
1
Ответ:
Объяснение:
!!!!!!!!!!!!!!!!!!!!!
Приложения:

arina55651:
спасибо
Ответ дал:
0
Объяснение:
❤️ алвлаллалвщцщцщулплламллмлмлслал
Приложения:

Вас заинтересует
2 года назад
2 года назад
7 лет назад
7 лет назад
9 лет назад