• Предмет: Математика
  • Автор: WHATYAGONNADO
  • Вопрос задан 3 года назад

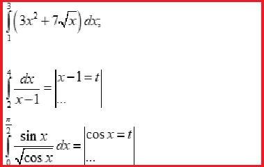
интеграл. методом замены

Приложения:

Ответы

Ответ дал: Miroslava227
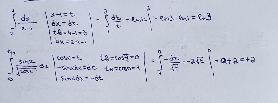
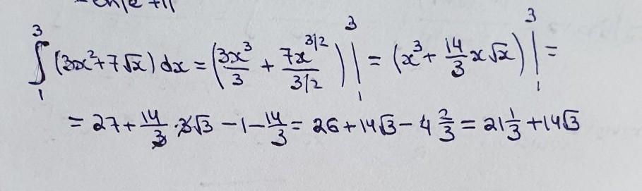
3

Ответ:

решение на фотографиях

Приложения:

sherlock05: здравствуйте вы бы не могли мне помочь?
sherlock05: задание по алгебре
6688855: и мне
6688855: пожалуйста
6688855: срочно надо прям помогитееее
salimahonhasanova644: и мне
salimahonhasanova644: срочно нужна
Вас заинтересует