Ответы
Ответ дал:
2
Ответ:
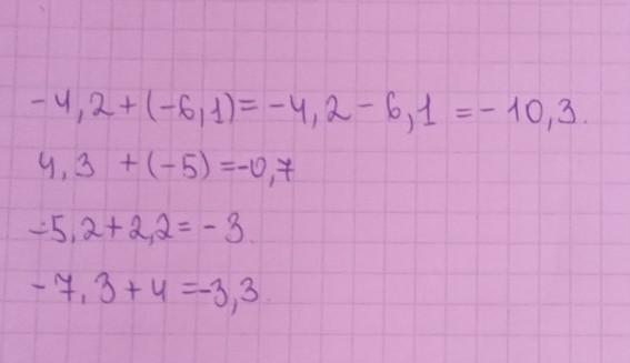
1) -10,3
2) -0,7
3) -3
4) -24,6
5) -3,3
Пошаговое объяснение:
Ответ дал:
2
Ответ:
отвеееет на фоооотоооо
Приложения:

Вас заинтересует
2 года назад
2 года назад
2 года назад
7 лет назад
7 лет назад
9 лет назад
9 лет назад