• Предмет: Алгебра
  • Автор: anna45veyhenj
  • Вопрос задан 3 года назад

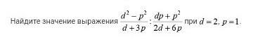
Найдите значение выражения

Приложения:

Ответы

Ответ дал: dara6836
1

вот ответ пожалуйста.....

Приложения:
Вас заинтересует