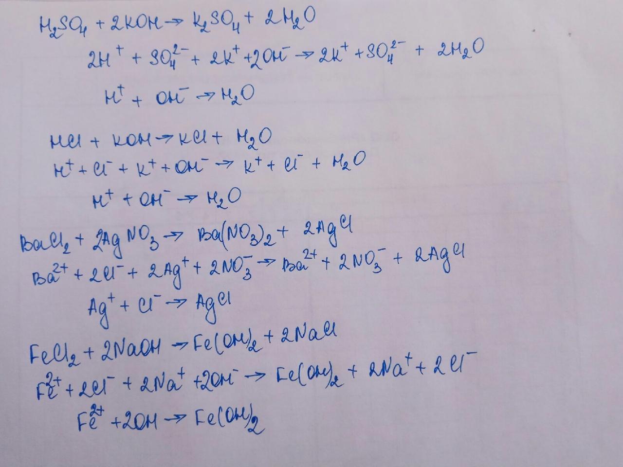
СРОЧНО! Напишите уравнения реакций в молекулярной и ионной формах между серной кислотой и гидроксидом калия, соляной кислотой и гидроксидом калия, хлоридом бария и нитратом серебра, хлоридом железа гидроксидом натрия.
Ответы
Ответ дал:
1
написано молекулярное, полное ионное, сокращенное ионное
Приложения:

Вас заинтересует
2 года назад
2 года назад
2 года назад
7 лет назад
7 лет назад
9 лет назад