Срочно! Даю 25 баллов.
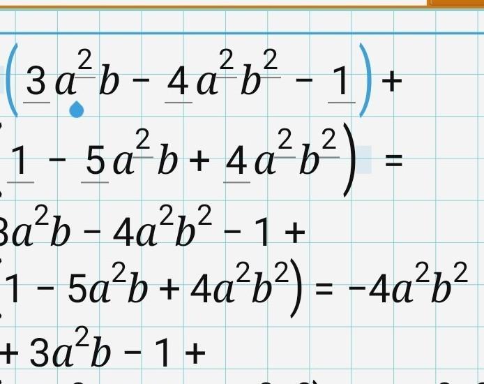
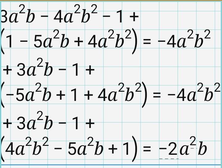
а) (3а^2b-4a^2b^2-1)+(1-5a^2b+4a^2b^2)
б) (5a^2b+3ab+3)-(5ab+5a^2b+4)
в) Решите уравнение: 5a^2-4=a^2-(4a-4a^2)
Ответы
Ответ дал:
3
Ответ:
воот все правильно проверенно
Приложения:


Ответ дал:
3
Ответ:
Ответ на вложенном фото
Приложения:

Вас заинтересует
2 года назад
2 года назад
2 года назад
2 года назад
7 лет назад
7 лет назад
9 лет назад
9 лет назад