• Предмет: Алгебра
  • Автор: styleshop635
  • Вопрос задан 3 года назад

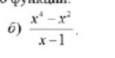
Срочно найдите производную функции. Заранее спасибо

Приложения:

Ответы

Ответ дал: rakhmetov003
1

Ответ:

Решение на фото

Приложения:
Вас заинтересует