• Предмет: Алгебра
  • Автор: janairgasheva
  • Вопрос задан 3 года назад

решите, пожалуйста, даю 20 баллов.​

Приложения:

Ответы

Ответ дал: Аноним
0

Ответ:

Объяснение:

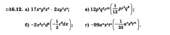
17xⁿy⁸z³·2xy⁵z⁴=34x⁽ⁿ⁺¹⁾y⁽⁸⁺⁵⁾z⁽³⁺⁴⁾=34x⁽ⁿ⁺¹⁾y¹³z⁷

-2x³c⁵d⁸·(-1/2 ·c⁶dx)=2/2 ·x⁽³⁺¹⁾c⁽⁵⁺⁶⁾d⁽⁸⁺¹⁾=c¹¹d⁹x⁴

12p³q²r¹⁰·(1/12 ·pr⁵q⁶)=12/12 ·p⁽³⁺¹⁾q⁽²⁺⁶⁾r⁽¹⁰⁺⁵⁾=p⁴q⁸r¹⁵

-99a^m ·s^n ·t^n ·(-1/33 ·a^n ·s^k ·t^m)=99/33 ·a^(m+n) ·s^(n+k) ·t^(n+m)=3a^(m+n) ·s^(k+n) ·t^(m+n)

Вас заинтересует