• Предмет: Математика
  • Автор: R15pp
  • Вопрос задан 3 года назад

Помогите найти неопределённые интегралы
ПОЖАЛУЙСТА
ЭТО ОЧЕНЬ СРОЧНО

Приложения:

Ответы

Ответ дал: Miroslava227
0

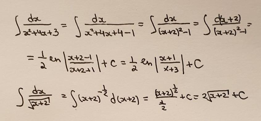
Ответ:

решение на фотографии

Приложения:
Вас заинтересует