• Предмет: Математика
  • Автор: nazarbaevgani
  • Вопрос задан 3 года назад

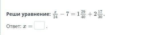
Реши уровнение:x/24-7=1 29/40+2 17/30​

Приложения:

Ответы

Ответ дал: help3545007
2
7+1=8
x/24=8
8-1=7
7 24/24 -7 =24/24=1
x=24

islambaktov: крос
nazarbaevgani: Точно правильно?
islambaktov: кто в фф играет
islambaktov: фри фаер
nazarbaevgani: Ну спасибо
nazarbaevgani: Не правильно
Ответ дал: olgabarybina218
5
x/24-7=3+31/24
x/24-7=4+7/24
x/24-7=4 7/24
x/24-7=103/24
x-168=103
X=103+168
X=271
Вас заинтересует