• Предмет: Алгебра
  • Автор: UnicornIra
  • Вопрос задан 3 года назад

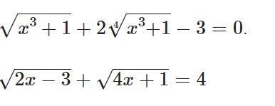
Решите уравнения Алгебра 10ый класс
подробно распишите действия, пожалуйста

Приложения:

Ответы

Ответ дал: XGuruX
1

a)\\ \sqrt[4]{x^{3}+1 } = t, => \sqrt{x^{3}+1}  = t^{2} , t \geq 0\\t^{2} +2t-3=0\\t1=1\\t2=-3

Причем t2 не подходит, т.к меньше нуля.

Итого имеем:

\sqrt{x^{3} +1}  = 1\\x^{3} + 1 = 1\\x^{3}  = 0\\x=0

b)\\\sqrt{2x-3} =4-\sqrt{4x+1} \\2x-3=16-8\sqrt{4x+1}+4x+1\\2x+20=8\sqrt{4x+1}\\4x^{2} +80x+400=64(4x+1)\\x^{2} +20x+100=64x+16\\x^{2} -44x+84=0\\D=(-44)^{2} -4*84=1600\\x1=\frac{44-40}{2} =2\\x2=\frac{44+40}{2} =42\\

Выполним проверку:

\sqrt{2*2-3} +\sqrt{4*2+1} = 4\\3=3\\\sqrt{42*2-3} +\sqrt{4*42+1} =4\\9+13\neq 4

Значит корнем уравнения является только x = 2.


UnicornIra: огромное спасибо!
UnicornIra: а откуда появляются 16 и 8 в задании b?
XGuruX: 16 и -8 во второй строке?
UnicornIra: да
XGuruX: Из формулы квадрата разности(первая строка, правая часть)
XGuruX: (a-b)^2, где a=4, а b=корень квадратный из(4x+1)
UnicornIra: спасибо!
Вас заинтересует