Ответы
Ответ дал:
1
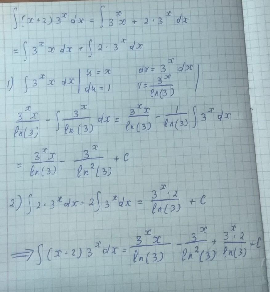
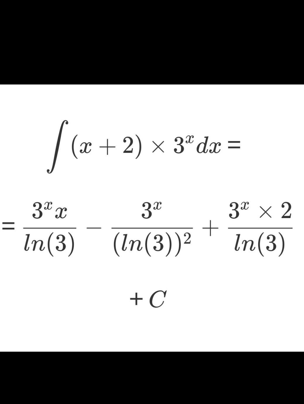
Решение и ответ , даны на двух фото .
Справка :
C=const
Приложения:


annaelgina8947:
Благодарю за подробное решение!
Вас заинтересует
2 года назад
2 года назад
2 года назад
7 лет назад
7 лет назад
9 лет назад