• Предмет: Геометрия
  • Автор: KINGAK06
  • Вопрос задан 3 года назад

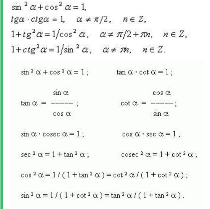
Какие тригонометрические тождества вы знаете

Ответы

Ответ дал: nodira777777
1

Ответ: Вот на фото всё написано

Объяснение:

Приложения:
Вас заинтересует