• Предмет: Алгебра
  • Автор: kiillibits
  • Вопрос задан 3 года назад

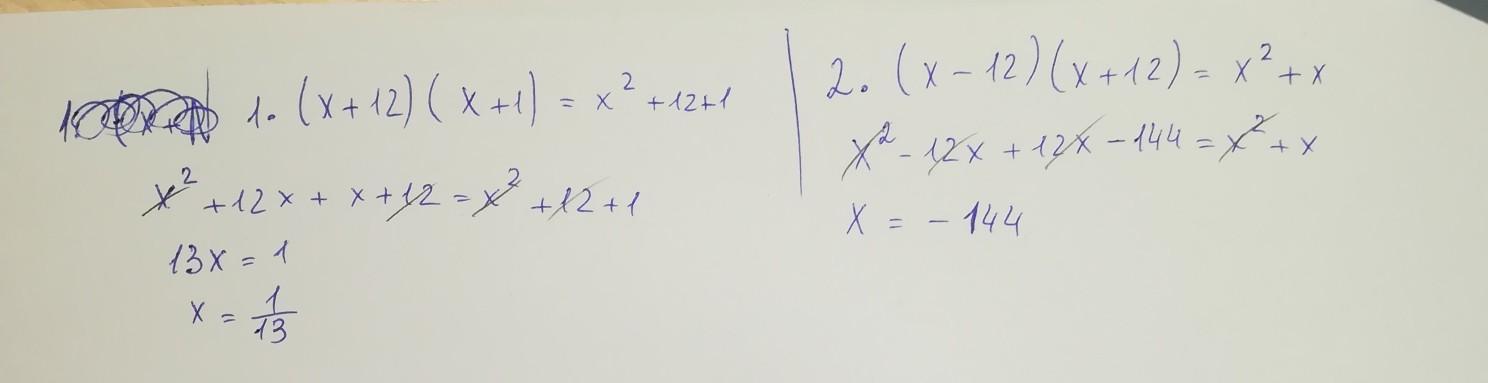
надо решить как на фото только вместо всех N поставьте 12​

Приложения:

Ответы

Ответ дал: Аноним
0

Ответ:

1. \frac{1}{13};\\2.  -144

Решение во вложении

Приложения:
Вас заинтересует