• Предмет: Математика
  • Автор: vanam67055
  • Вопрос задан 3 года назад

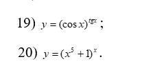
50БАЛОВ!! Найти производные следующих функций:

Приложения:

Ответы

Ответ дал: natalyabryukhova
0

Ответ:

19)\;\;y=(cosx)^{tgx}\\\\lny=tgx*ln(cosx)\\\frac{1}{y}*y'= \frac{1}{cos^2x}*ln(cosx)+tgx*\frac{(-sinx)}{cosx} \\\frac{y'}{y} = \frac{ln(cosx)}{cos^2x}-tg^2x\\y'= (\frac{ln(cosx)}{cos^2x}-tg^2x)*cos^{tgx} \\\\20)\;\;y=(x^5+1)^x\\lny=x*ln(x^5+1)\\\frac{y'}{y} =ln(x^5+1)+x*\frac{5x^4}{x^5+1} \\y'=(ln(x^5+1)+\frac{5x^5}{x^5+1})*(x^5+1)^x

Пошаговое объяснение:

Вас заинтересует