• Предмет: Математика
  • Автор: repchinov
  • Вопрос задан 3 года назад

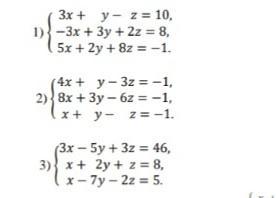
Ребят, помогите решить методом обратной матрицы

Приложения:

zveryakovanata: Если хотите, напишу решение 1 системы. Это очень длинное решение
repchinov: Напишите пожалуйста, буду очень благодарен

Ответы

Ответ дал: zveryakovanata
0

Ответ:

Пошаговое объяснение:

Приложения:
Вас заинтересует