Помогите сделать алгебру! Привести одночлен к стандартному виду, найти коэффициент. Заранее спасибо! :)
Приложения:

Ответы
Ответ дал:
0
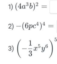
Ответ:
Объяснение:
1) 4²а⁶в² = 16а⁶в² -коэффициент 16 подчеркнут.
2) -(6рс⁴)⁴=-6⁴ р⁴ с¹⁶= -1296 р⁴ с¹⁶
3) (-1/3 * х⁵у⁶)⁵ = -1/243*х²⁵у³⁰ коэффициенты подчеркнуты (знак принадлежит коэффициенту)
Вас заинтересует
2 года назад
2 года назад
2 года назад
7 лет назад
7 лет назад
9 лет назад