20 баллов
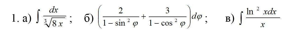
Помогите пожалуйста с интегралами,я вообще понятия не имею как их решать
Прошу максимально подробно расписать(хочу разобрать пример)
Заранее спасибо!
Приложения:

Ответы
Ответ дал:
1
Ответ:
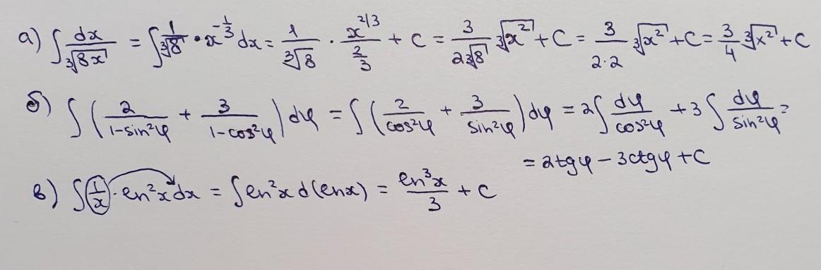
решение на фотографии
Приложения:

lushnikovt:
Здравствуйте, Мирослав. Можете пожалуйста помочь с пределами в последнем моем вопросе?)
Вас заинтересует
2 года назад
7 лет назад
7 лет назад