• Предмет: Математика
  • Автор: Аноним
  • Вопрос задан 3 года назад

нужен буквенный ответ срочно ​

Приложения:

Ответы

Ответ дал: sofiyavictoria
1

Ответ:

Пошаговое объяснение:

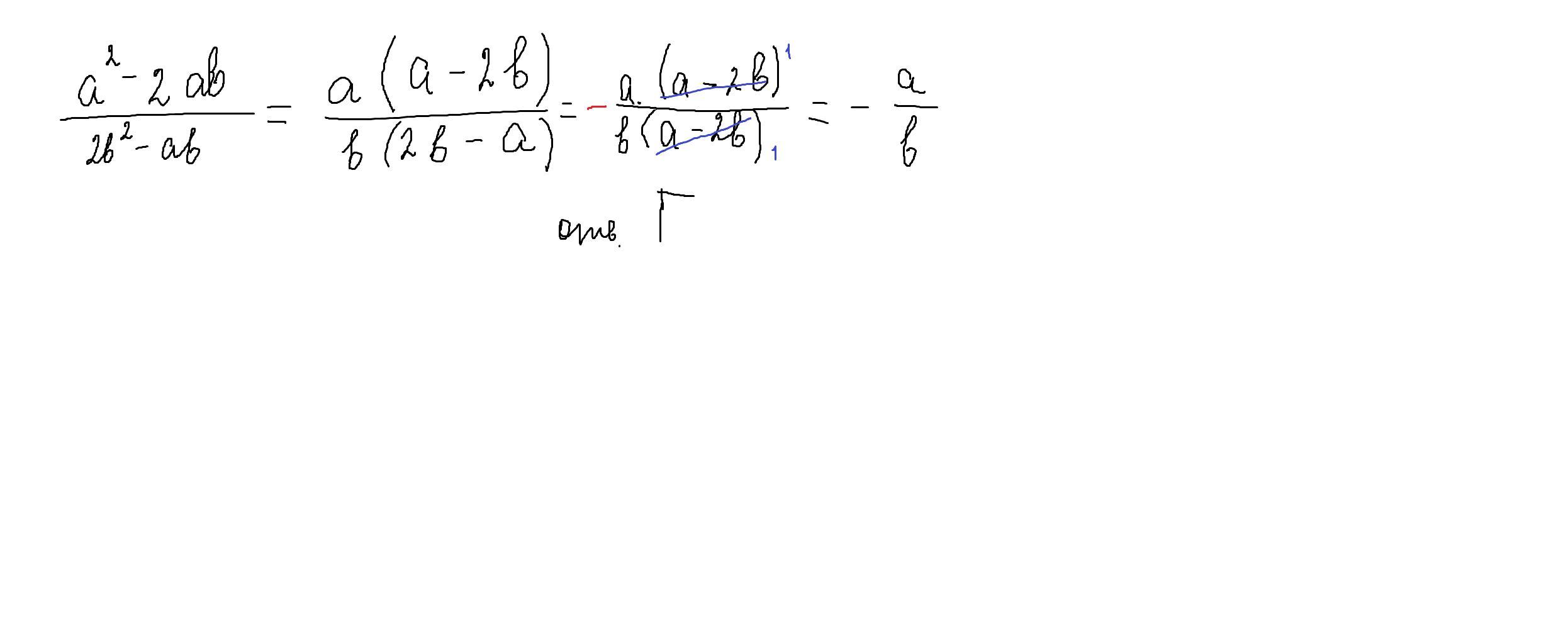
(a^2-2ab)/(2b^2-ab)=a*(a-2b)/b*(2b-a)= - a*(a-2b)/b*(a-2b)= - a/b - ответ Г.

Ответ дал: parus77
1

Ответ:

Г

Пошаговое объяснение:

решение внизу

Приложения:
Вас заинтересует