• Предмет: Математика
  • Автор: kreeps911
  • Вопрос задан 3 года назад

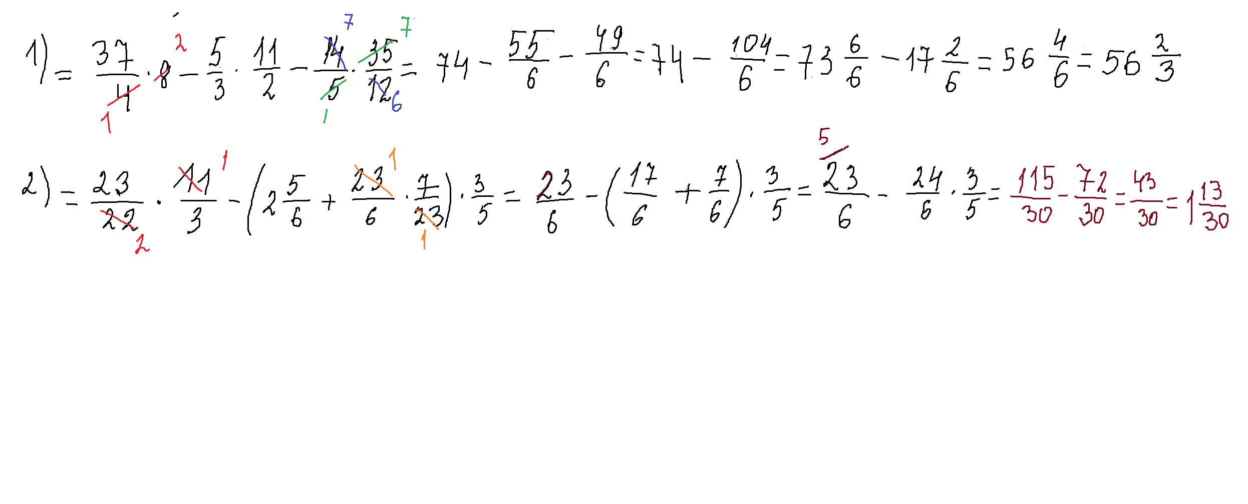
Решите 2 примера даю 100 баллов, памагите! ​

Приложения:

kreeps911: нужно 2 примера

Ответы

Ответ дал: parus77
0

Ответ:

Пошаговое объяснение:

решение смотри внизу

Приложения:
Вас заинтересует