• Предмет: Алгебра
  • Автор: 3abavno
  • Вопрос задан 3 года назад

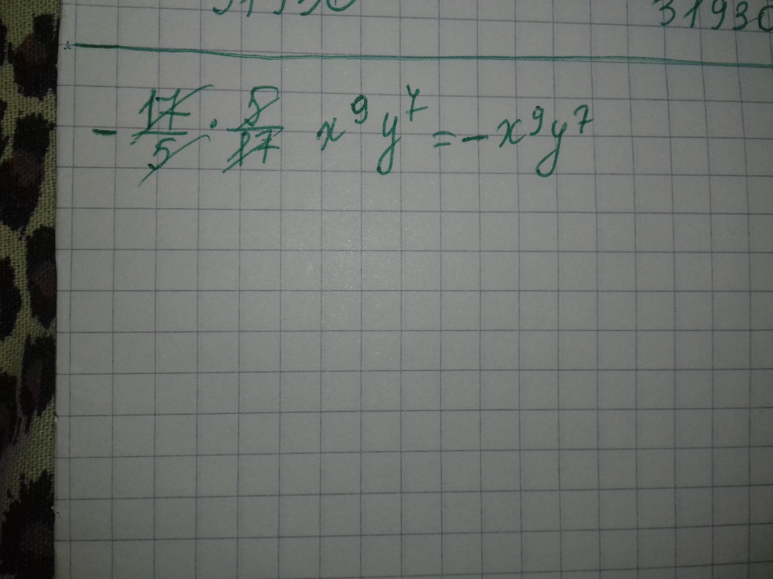
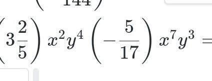
Помогите, пожалуйста, не понимаю тему. (Всё на скринах ниже. 2 скрин это прод 3 примера) ​

Приложения:

Ответы

Ответ дал: ucilka0604
0

Ответ:

Объяснение:

Решение

Приложения:
Вас заинтересует