решите метрдом замены переменной, пожалуйста, всем спасибо заранее❤❤❤
Приложения:

natalyabryukhova:
а где второе уравнение из системы?
Ответы
Ответ дал:
0
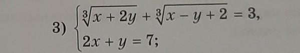
∛(x + 2y) + ∛(x - y + 2) = 3
2x + y = 7
-----
"метрдом" замена переменных
немного может непонятная, но
обычная замена для кубов 3-й степени, где
Сумма переменных подкоренных выражений равна второму равенству
∛(x + 2y) = u
∛(x - y + 2) = t
u³ + t³ = x + 2y + x - y + 2 = 2x + y + 2 = {2x + y = 7} = 9
и u + t = 3
-------
u + t = 3
u³ + t³ = (u + t)(u² - ut + t²) = (u+t)((u + t)² - 3ut) = это стандартные преобразования = 3(9 - 3ut) = 9(3 - ut) = 9
3 - ut = 1
ut = 2
1. u = 1 t = 2
∛(x + 2y) = 1
∛(x - y + 2) = 2
x + 2y = 1
x - y + 2 = 8
--
x = 1-2y
1-2y - y + 2 = 8
-3y = 5
y = -5/3
x = 1 + 10/3 = 13/3
2. u = 2 t = 1
∛(x + 2y) = 2
∛(x - y + 2) = 1
x + 2y = 8
x - y + 2 = 1
--
x = y - 1
y - 1 +2y = 8
3y = 9
y = 3
x = 2
ответ (2. 3) (13/3, -5/3)
Вас заинтересует
2 года назад
2 года назад
2 года назад
2 года назад
7 лет назад