срочно пж
8 класс алгебра
Приложения:

Elo4kaw:
Сравнить?
Ответы
Ответ дал:
1
Ответ:
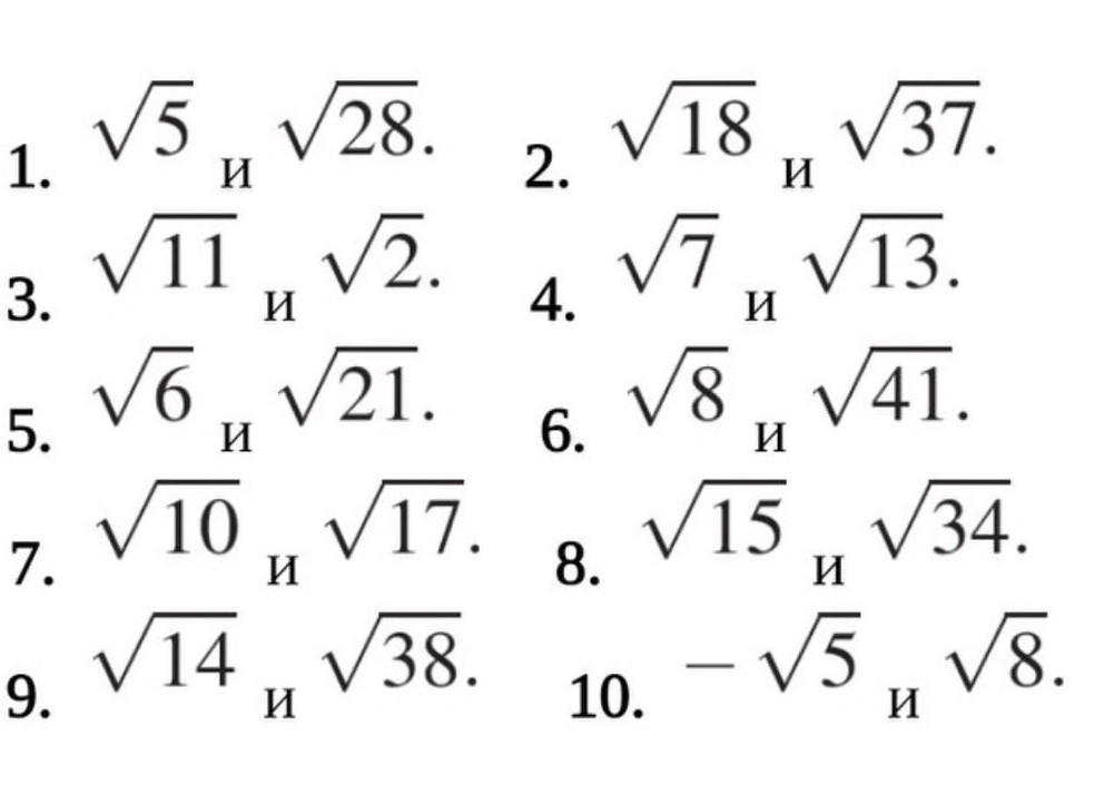
1) <
2) <
3) >
4) <
5) <
6) <
7) <
8) <
9) <
10) <
Объяснение:
Вас заинтересует
2 года назад
2 года назад
2 года назад
9 лет назад