• Предмет: Алгебра
  • Автор: durkaebat21
  • Вопрос задан 3 года назад

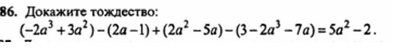
помогите пж авыжэдавабйуд

Приложения:

Ответы

Ответ дал: VseNa100
0

при раскрытии получается

-2а³+2а³+3а²+2а²-2а-5а+7а+1-3

дальше просто счет

Вас заинтересует