• Предмет: Математика
  • Автор: roma5525
  • Вопрос задан 3 года назад

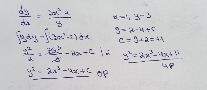
найти частное решение дифференциального уравнения​

Приложения:

Ответы

Ответ дал: Miroslava227
0

Ответ:

решение на фотографии

Приложения:
Вас заинтересует