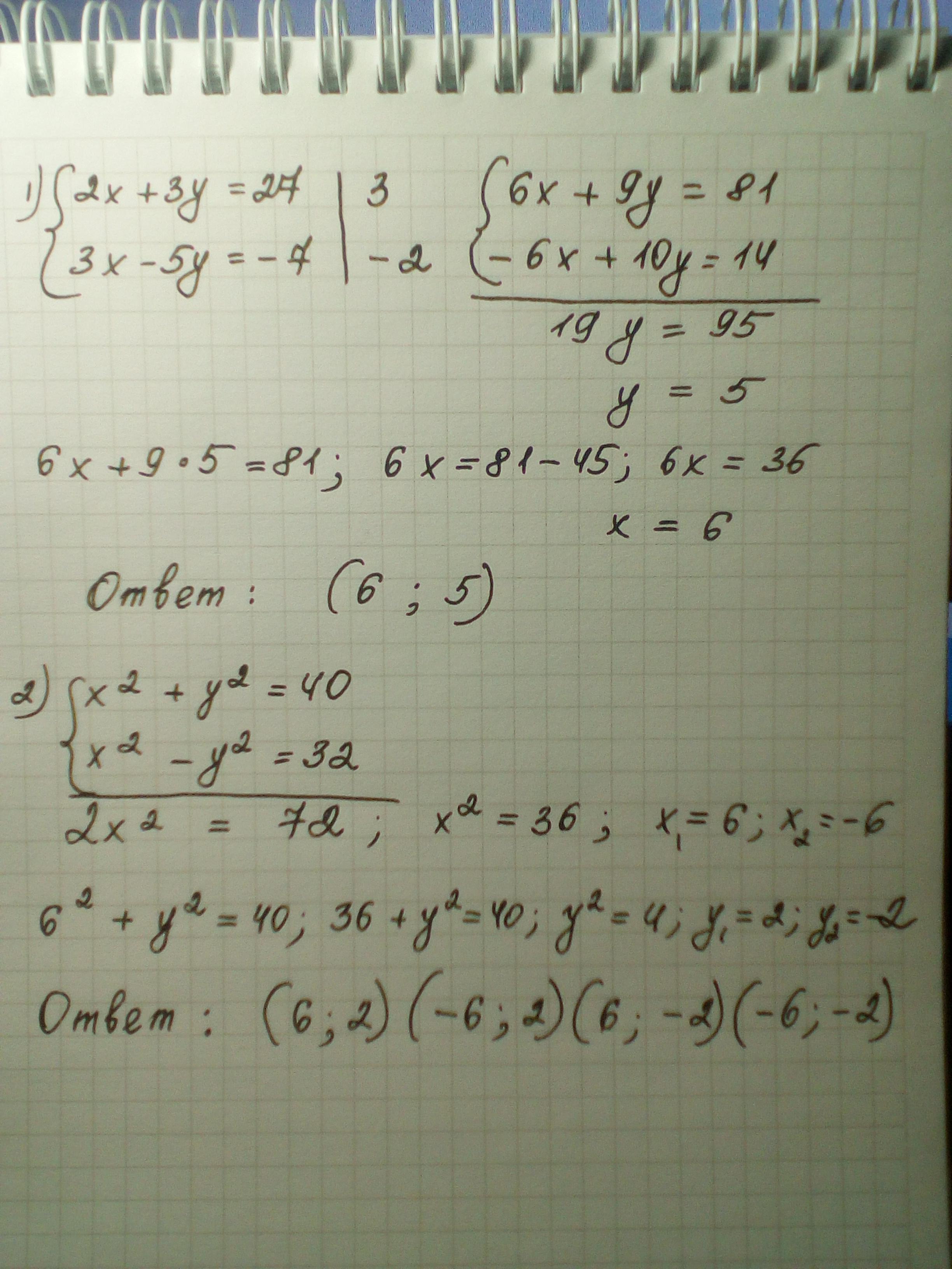
Помогите пожалуйста решить систему уравнений МЕТОДОМ АЛГЕБРАИЧЕСКОГО
СЛОЖЕНИЯ.
ДАЮ 100 баллов
Приложения:

Ответы
Ответ дал:
2
::::::::::::::::::::::::::::Ответ::::::::::::::::::::::::::::::
Приложения:

Аноним:
Спасибо большое!!!! ❤️
Вас заинтересует
2 года назад
2 года назад
2 года назад
7 лет назад
9 лет назад
9 лет назад