• Предмет: Математика
  • Автор: BananaDi
  • Вопрос задан 3 года назад

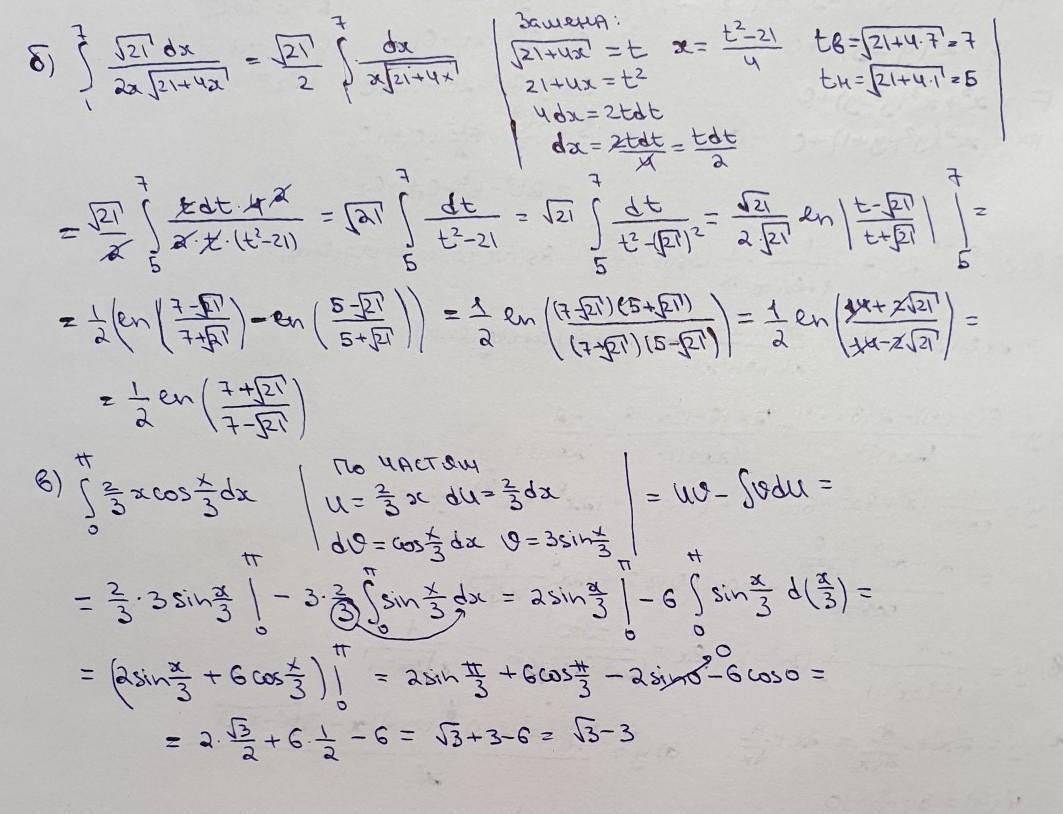
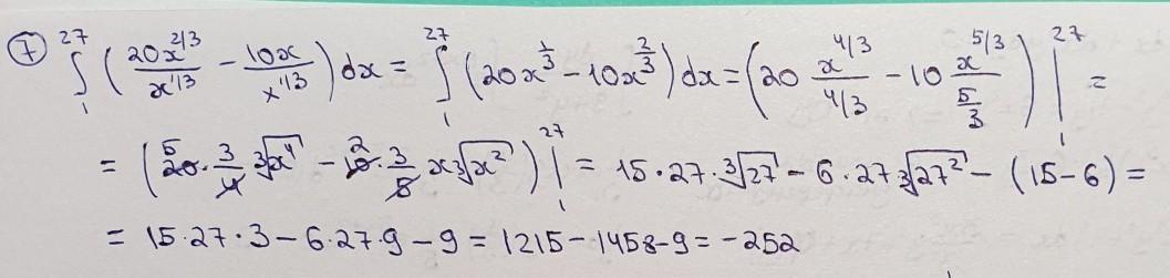
в 6 задании можно сделать любые 3 примера в 7 всё
распишите пожалуйста поподробнее

Приложения:

Ответы

Ответ дал: Miroslava227
1

Ответ:

решение на фотографиях

Приложения:

aleksandramazu88: Пожалуйста,реши примеры у меня на странице!!!
BananaDi: я тебя обожаю! спасибо большое :3
Вас заинтересует