• Предмет: Физика
  • Автор: estafiya
  • Вопрос задан 3 года назад

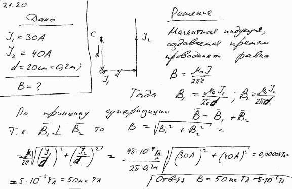
По двум бесконечно длинным прямым проводникам, скрещенным под прямым углом, текут токи 30 А и 40 А. Расстояние между проводниками 20 см. Определить магнитную индукцию в точке, одинаково удаленной от обоих проводников на расстояние, равное 10 см.

Ответы

Ответ дал: dadavasaallslm
0

Ответ:

прошу прошение за плохой почерк

Объяснение:

Приложения:

estafiya: Вопрос по другому задан не найти магнитную индукцию B в точке С, а Определить магнитную индукцию в точке, одинаково удаленной от обоих проводников на расстояние, равное 10 см.
Вас заинтересует