Ответы
Ответ дал:
1
Ответ:
решение на фотографии
Приложения:

Ответ дал:
1
Ответ:
Пошаговое объяснение:
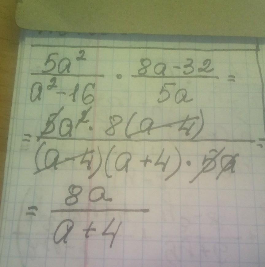
5a²/a²-16 * 8a-32/5a
5a²*(a-4)8 / 5a(a-4)(a+4)
8a/a+4
Вас заинтересует
2 года назад
2 года назад
2 года назад
2 года назад
7 лет назад
7 лет назад
9 лет назад