• Предмет: Математика
  • Автор: vlad1234526
  • Вопрос задан 3 года назад

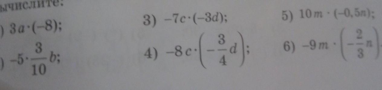
помогите пожалуйста нужно выселить чётное​

Приложения:

Ответы

Ответ дал: tatsach
0

Ответ:

Пошаговое объяснение:

2)=-3/2b=-1 1/2b

4)=6dc

6)=6mn


chuchmek22868: я 5 Б
Вас заинтересует