• Предмет: Алгебра
  • Автор: pavelastakhov87
  • Вопрос задан 3 года назад

ПОМОГИТЕ СРОЧНО ПОЖАЛУЙСТА
с подробным решением

Приложения:

pavelastakhov87: Пожалуйста очень надо

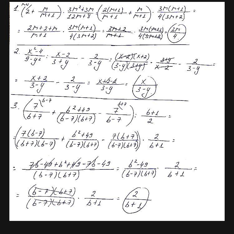
Ответы

Ответ дал: abdibekovaarrai
1
Полное решение на картинке
Приложения:
Вас заинтересует