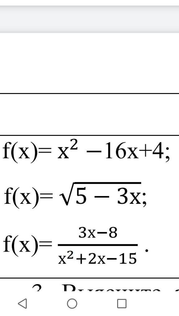
помогите пожалуйста,нужно найти область определения функции, нажмите на фото и увидите мне нужно только последние два первое я решил.
Приложения:

Ответы
Ответ дал:
1
Ответ:
решение на фотографии
Приложения:

vadim912287:
спасибо
Вас заинтересует
2 года назад
2 года назад
2 года назад
7 лет назад
7 лет назад
9 лет назад