• Предмет: Математика
  • Автор: andreiredko478
  • Вопрос задан 3 года назад

Высшая математика, помогите решить!!!!!!!
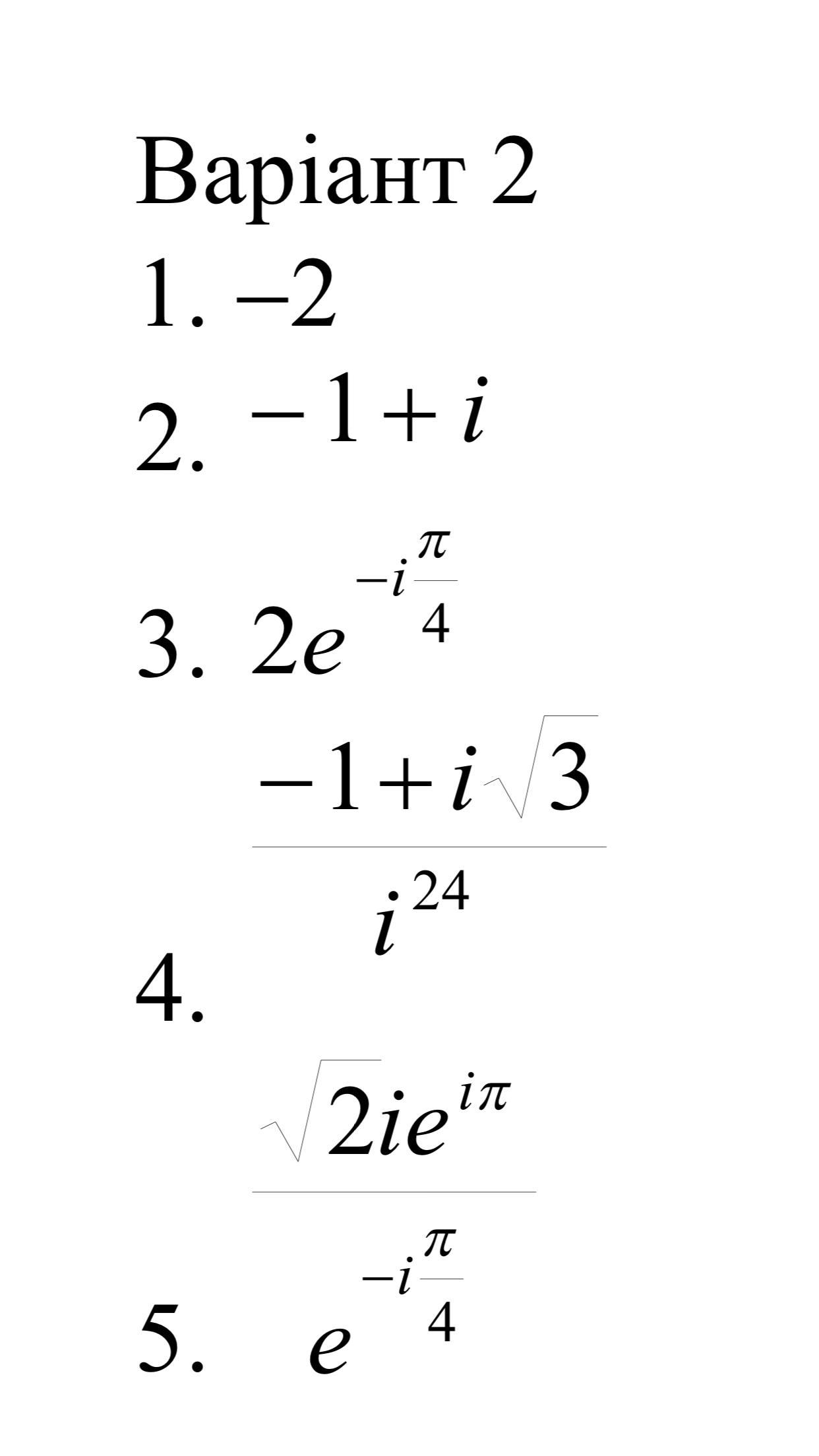
1. Записать в показательной форме
2. Записать в тригонометрической форме
3. Записать в алгебраической форме
4. Решить и записать ответь в показательной форме
5. Решить и записать ответ в алгебраической форме
Распишите решение!!!!!
Даю 20 баллов

Приложения:

Ответы

Ответ дал: dmerz22848
2

Ответ:

В файле

Пошаговое объяснение:

В файле

Приложения:
Вас заинтересует