• Предмет: Алгебра
  • Автор: mtn2010
  • Вопрос задан 3 года назад

Задание по алгебре 7 класс

Приложения:

Ответы

Ответ дал: manyny06
1

Ответ:

решение на фотографии

Приложения:
Ответ дал: ladushkaaa
1

Відповідь:

Пояснення:

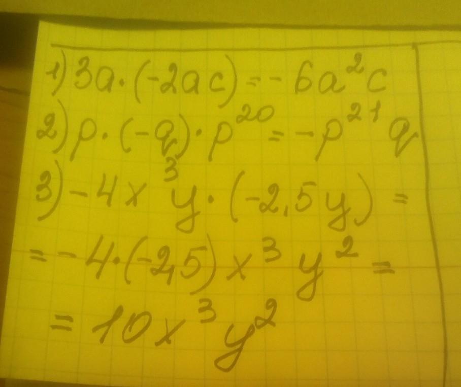
1) 3a*(-2ас)=-6а^2c

коефициент= - 6

2)p*(-q)*p^20= -qp*p^20= -qp^21

коефициент= -1

3) -4x^3*0.1x^3*(-2.5y)= -0.4x^6y*(-2.5y)= x^6y^2

коефициент=1

Вас заинтересует