• Предмет: Математика
  • Автор: svetk15
  • Вопрос задан 3 года назад

Вычислить пределы, используя правила Лопиталя
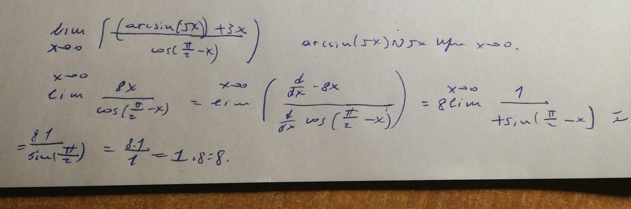
limx→0 arcsin 5x+3x \cos ( π\2 −x)

Ответы

Ответ дал: pomidorkasvezhaya
1

...................................

Приложения:
Вас заинтересует